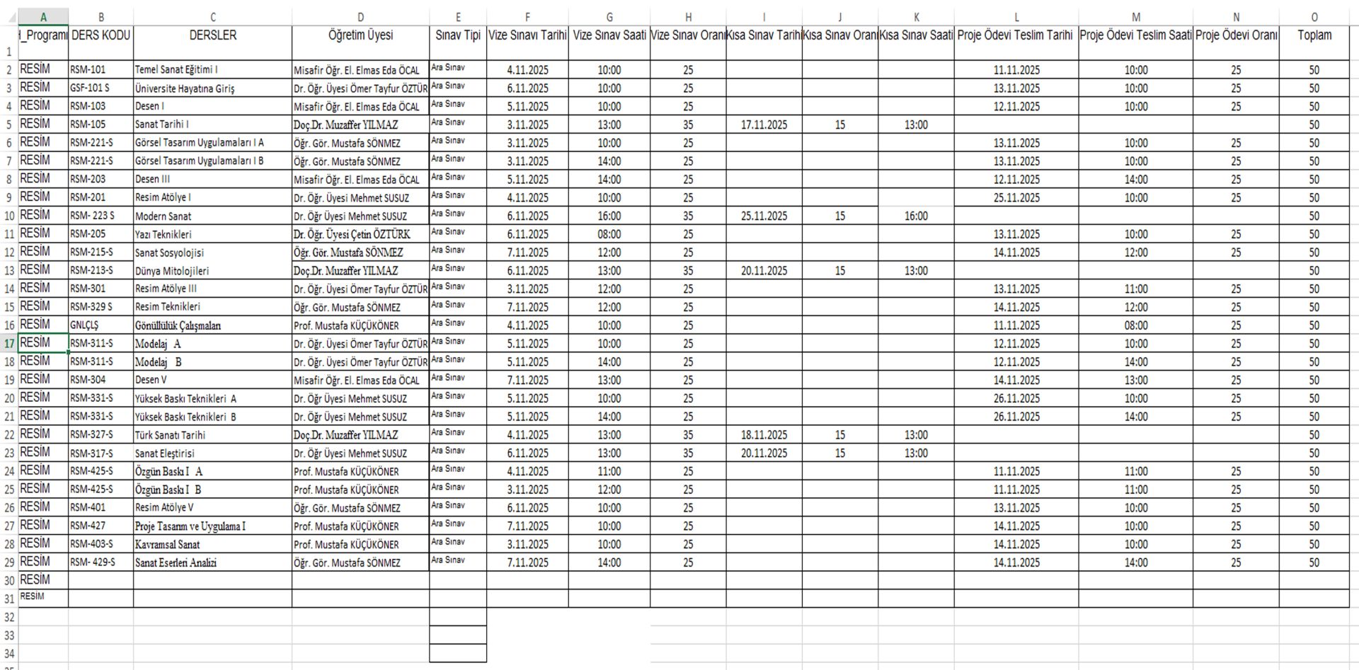
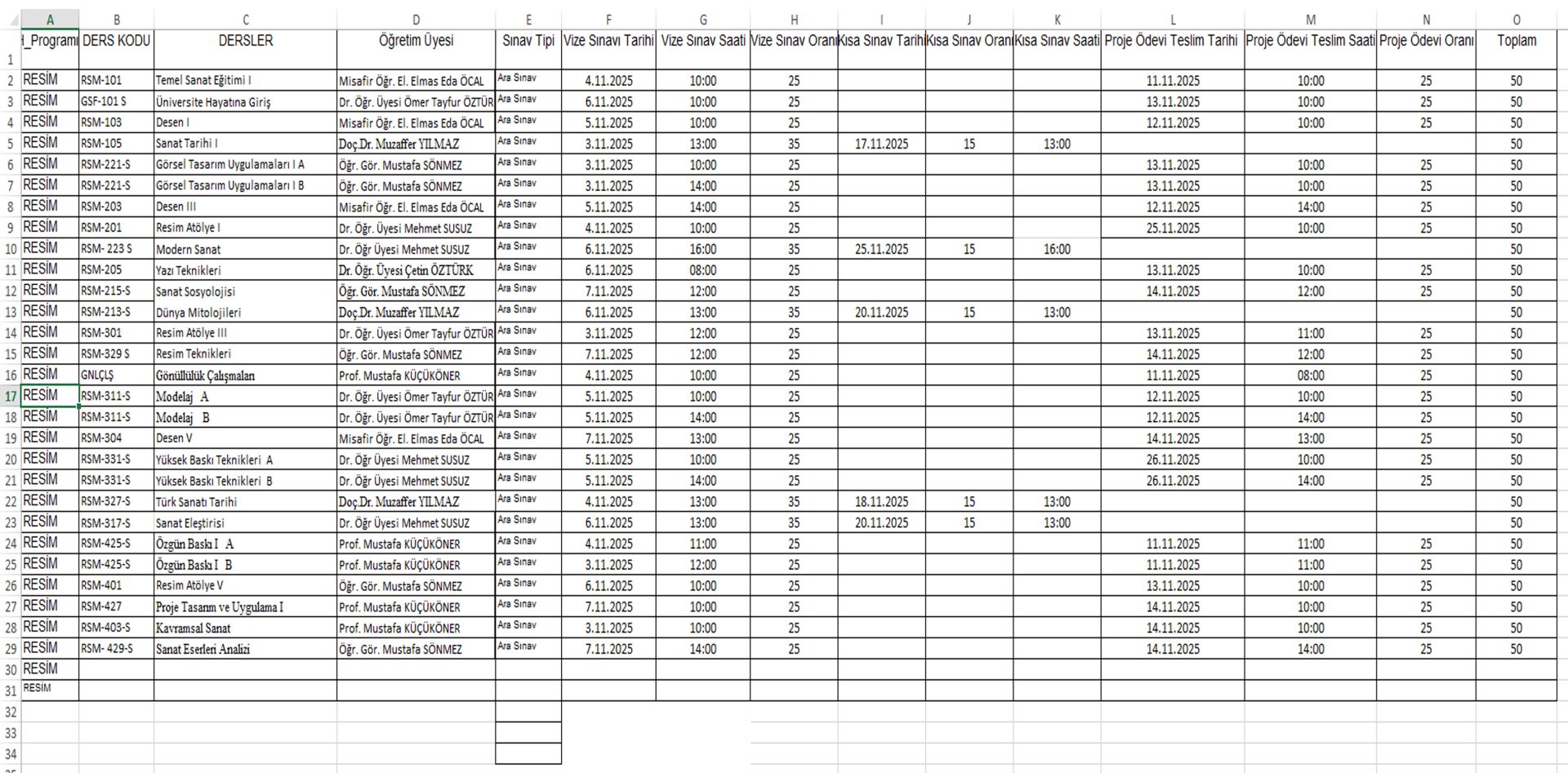
VİZE SINAVI VE ÇOKLU DEĞERLENDİRME TARİH VE SAATLERİ
RESİM VİZE- ÇOKLU DEĞERLENDRM GÜN VE SAATLERİ
https://erbakan.edu.tr/storage/departments/files/424191/RES%C4%B0M%20V%C4%B0ZE-%20%C3%87OKLU%20DE%C4%9EERLENDRM%20G%C3%9CN%20VE%20SAATLER%C4%B0---.jpg