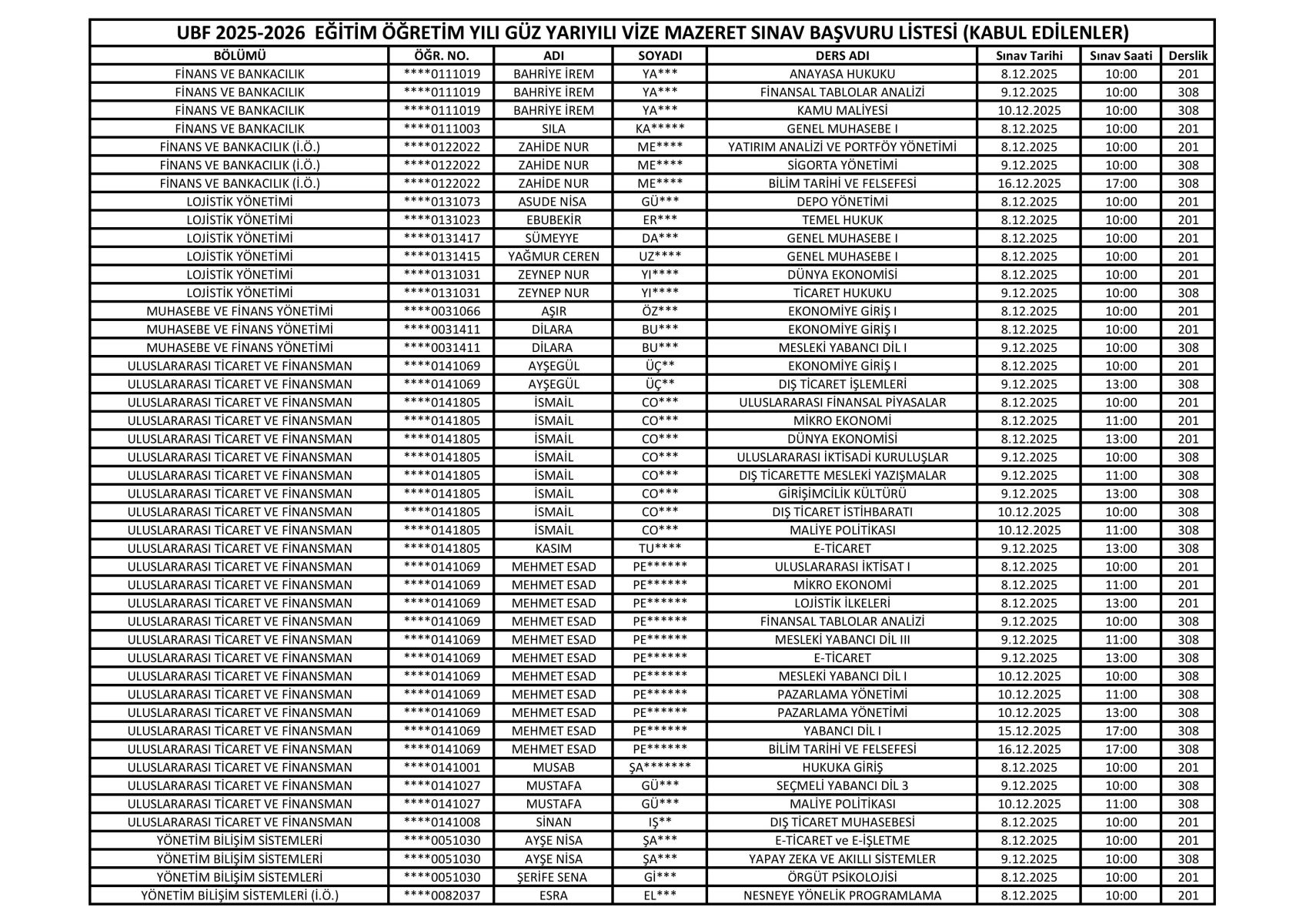
2025-2026 Eğitim Öğretim Yılı Güz Yarıyılı Vize Mazeret Başvuru Sonuçları ve Sınav Programına ulaşmak için tıklayınız.
Başvursu kabul edilmeyenler listesi için tıklayınız.
Necmettin Erbakan Üniversitesi Rektörlüğü
Yaka Mah. Yeni Meram Cad. Kasım Halife Sok.
No: 11/1 (A Blok) No: 11 (B Blok)
Posta Kodu: 42090 Meram / KONYA